2023. 6. 13. 21:31ㆍNO! 저탄고지
LDL은 낮을수록 위험하고, 높은 것은 괜찮다?
https://big-bh.blogspot.com/2023/06/ldl.html
LDL 콜레스테롤을 낮추면 큰일납니다?
저탄고지 의사의 거짓말, 저탄고지 의사의 왜곡, 콜레스테롤을 낮추면, LDL 낮추면
big-bh.blogspot.com
LDL 콜레스테롤이 전혀 위험하지 않다는 의사
한 영상에서 저탄고지를 옹호하는 의사가 본인 환자의 콜레스테롤 자료를 보여 주며 스타틴을 써야할지 묻고 있다.
이 환자는 총콜레스테롤 236, LDL-C 183으로 콜레스테롤 수치가 매우 높다. 환자의 다른 정보가 없지만 이 수치만 놓고 보면 대부분의 내과의사는 스타틴을 처방할 것이다.

총콜레스테롤은 일반적으로 LDL+HDL+(중성지방*0.2)이다.
위 이미지에 있는 수치를 보면 LDL 183+HDL 67을 하면 이미 250이고, 여기에 중성지방 83*0.2를 한 16.6을 더하면 총콜레스테롤이 266.6이 된다. 영상에서는 총콜레스테롤이 236이라고 되어 있으나 LDL과 HDL 두 개만 합쳐도 이 수치를 넘어선다. 수치를 임의로 가공한 것은 아닌지 의구심이 든다.
여튼 영상 속 이 의사는 전혀 엉뚱한 방향으로 얘기를 전개해 나간다.

이 의사는 영상에서 위와 같이 LDL-C 수치가 낮아도 위험하다는 연구 결과를 보여 주고 있다. LDL-C 수치는 중요하지 않고 즉, LDL-C 수치는 심뇌혈관질환을 예측하는 인자로서 전혀 중요하지 않으며 중성지방과 HDL, 총콜레스테롤과 HDL 비율이 더 정확하다고 이 의사는 주장한다.

중성지방과 HDL 비율?
그는 심혈관질환 예측 인자로 중성지방/HDL 비율이 왜 중요한지는 전혀 설명하지 않고 '그냥' 우선적으로 이 비율을 고려해야 한다고 주장한다.
이 주장은 '63빌딩 층수와 HDL 비율이 1 이하일수록 좋고, 4 이상이면 고위험군이다' 라는 말과 전혀 다르지 않다. 아무런 맥락도 의미도 없다는 말이다. HDL은 보통 60 정도를 적정한 수치로 보고, 중성지방은 낮을수록 좋으니까 60에 맞는 숫자를 적절히 갖다 넣기만 하면 된다. 이게 무슨 의학적 의미가 있다는 말인지 모르겠다.
그럼 중성지방 1000, HDL 1000이라면 비율이 1이므로 이는 좋은 것인지 묻고 싶다. 반대로 중성지방 25, HDL 25라면 비율이 또한 1이므로 이 수치도 좋은 것인지 묻고 싶다.
저탄고지를 하면 포화지방을 많이 먹게 되고 그 결과 LDL 콜레스테롤은 하늘 높은 줄 모르고 오른다. 반면에 저지방 고탄수 식단을 하면 저탄고지 식단보다 중성지방이 상대적으로 더 오른다. 저탄고지 옹호론자는 어떻게든 고지방 식단이 좋다고 해야 하기 때문에 LDL이 나쁘다고 말하지 못하는 것이다. 자기 주장을 옹호하기 위해 환자 건강은 중요하지 않은 모양이다.
반면 고탄수 식단이 나쁘다는 것을 내세우기 위해서 중성지방이 제일 나쁘고 중성지방과 HDL 비율이 훨씬 더 중요하다는 이상한 논리를 가져다 대는 것이다.
논문을 직접 읽어보다
이분은 논문을 본인 유리한 대로만 짜깁기하기 때문에 또 무슨 거짓말을 할지 몰라서 그 논문을 직접 찾아봤다. 아래는 그 논문이며 전체 논문은 여기서 볼 수 있다.

하이라이트

- 전국적인 1차 예방 코호트 연구에서, 대상자의 2/3가 10년 심혈관질환 위험이 5% 미만이었다.
- 심근경색(MI) 위험, 허혈성 뇌졸중(IS) 위험과 LDL-C 사이에 J자형 그래프가 관찰되었다.
- 심근경색(MI), 허혈성 뇌졸중(IS) 위험과 LDL-C 수치 사이의 연관성은 심혈관질환(ASCVD), 비만의 영향을 받았다.
- 염증 수치와 LDL-C 수치 사이에 J자형 연관성이 관찰되었다.
- 스타틴을 복용하지 않고 LDL-C 수치가 낮다는 것이 심혈관질환으로부터 안전하다는 것을 보증하지는 않는다.
결론: 높은 LDL-C 수치는 심혈관질환 위험을 높이지만
높은 LDL-C 수치는 심혈관질환 위험을 높이지만, 낮은 LDL-C 수치가 심혈관질환으로부터 안전을 보증하는 것은 아니다.
따라서, 낮은 LDL-C 수치를 가진 사람도 주의깊게 모니터링해야 한다.

연구 결론은 위와 같다.
즉, LDL-C가 높으면 당연히 위험하지만, 그렇다고 낮은 LDL-C 수치가 꼭 심혈관질환에서 안전한 것은 아니라는 것이다. 영상처럼 LDL-C가 낮을수록 위험하고 높을수록 안전하다는 해석은 전혀 아니라는 것이다. LDL-C 수치가 높으면 당연히 위험한데, 의외로 낮아도 안전한 것은 아니므로 모니터링을 잘해야 한다는 것이다.

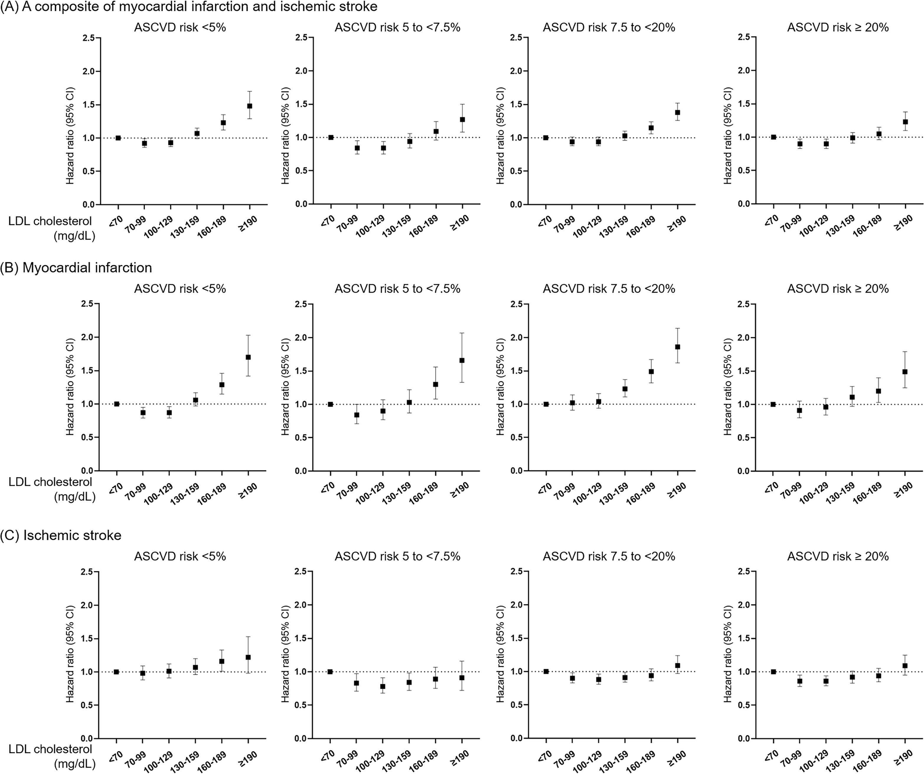
위 그래프 좌측은 심근경색, 우측은 허혈성 뇌졸중을 나타낸다.
LDL-C가 높을수록 두 질환 모두 급격하게 상승한다는 것을 알 수 있다. 하지만 반대로 100 이하로 LDL-C 수치가 떨어지는 경우에도 일정 정도 위험도가 올라간다.
하지만 LDL-C 수치가 높은 것에 비하면 낮은 것은 위험도가 훨씬 덜하다는 것을 알 수 있다.
이런 결과를 영상은 교묘하게 왜곡하고 있다.
아래 그래프를 보면 거의 모든 그래프가 우 상향이다. LDL-C 수치가 높을수록 위험도가 올라간다는 의미다.
그래프 첫 줄은 심근경색과 허혈성 뇌졸중을 병합해서 보여주는 값으로, LDL-C 수치가 모든 심혈관질환 위험도에서 우 상향 값을 보여 준다.
두 번째 줄을 보면 특히 심근경색은 LDL-C 수치가 올라갈수록 급격하게 상승하는 것을 알 수 있다.

아래 표를 보자.
LDL-C와 염증 수치의 관계 및 전체 연구를 요약한 그래프이다.
LDL-C 수치가 70이하로 떨어져도 위험도는 증가하지만 수치가 높을 때는 무조건 위험도가 증가한다.
그래프에서 LDL-C 가 낮을수록(The lower, the better) 더 좋다고 분명히 밝히고 있다. 다만 "약물을 복용하지 않고 LDL-C 수치가 낮은 사람이라도 심혈관질환으로부터 안전하다는 것은 아니다" 라는 것이 이 연구의 종합 결론이다.

LDL-C는 죽상동맥경화증을 유발하고 악화시킨다. 높은 LDL-C 수치는 심혈관질환 위험을 높이는 것과 관련 있다
이 연구에서는 다음과 같이 기술하고 있다.
"LDL-C는 죽상동맥경화증을 유발하고 악화시킨다. 높은 LDL-C 수치는 심혈관질환 위험을 높이는 것과 관련이 있다. 스타틴 복용은 심혈관질환 관리의 중요한 이정표이다. 심혈관질환 병력이 있는 환자에게 스타틴을 사용함으로써 심혈관질환을 유의미하게 감소시킬 수 있다.

다시 결론

높은 LDL-C 수치는 심근경색 및 허혈성 뇌졸중 위험 증가와 관련이 있지만, LDL-C 수치와 심혈관질환 사이의 관계는 복잡하다. 흥미롭게도 스타틴을 복용하지 않고 LDL-C 수치가 낮다고 하더라도 심혈관질환에서 자유롭다는 것은 아니다. 따라서 심혈관질환을 예방하기 위해 주의깊게 살펴야 한다.
이 저탄고지 의사는...
총콜레스테롤이 236, LDL-C가 183인 환자에게 고지혈증약 복용은 전혀 필요없다고 말하고 있다. 오히려 모든 수치가 아주 좋고 최적에 가깝다고 말한다
그리고 LDL은 심장 발작을 전혀 예측하지 못한다고, 아주 형편없는 예측 인자라고 말하고 있다.


이 의사는 자기 말만 맞고 다른 모든 논문과 다른 모든 의사는 틀렸다고 주장한다.
과연 이런 의사가 주장하는 바를 신뢰해도 되는 것인가 묻고 싶다.
이 의사 주장만 믿고 LDL 수치 무시하고 스타틴 거부했다가 심근경색, 뇌졸중 오면 본인만 손해다.
정확한 이유는 알 수 없지만, 저탄고지 커뮤니티에서 활발하게 활동하다가 돌연 사라진 이들이 부지기수다.
https://think-story.tistory.com/828
저탄고지 의사를 신뢰하지 않는 이유 #2
이 글은 저탄고지를 옹호하는 의사가 하도 어이없는 유튜브 영상을 올려서 간단하게 핵심만 반박하는 글이다. 의사도 아닌 그냥 일반인인 내가 봐도 허술하기 짝이 없는 영상이다. 내용이 길어
think-story.tistory.com
https://think-story.tistory.com/821
저탄고지 옹호자가 콜레스테롤에 집착하는 이유
저탄고지를 하면 콜레스테롤 수치가 폭발적으로 올라가기 때문이다. 고콜레스테롤혈증이 건강에 치명적이라는 것을 알기 때문이다. 저탄고지가 콜레스테롤 수치와 아무 상관이 없다면 굳이 그
think-story.tistory.com
https://big-bh.blogspot.com/2023/06/blog-post_8.html
저탄고지: 심혈관 건강에 가장 해로운 식단
저탄고지 위험한 저탄고지 저탄고지 위험 심혈관질환과 저탄고지 저탄고지와 심혈관 건강한 식단 건강을 해치는 식단
big-bh.blogspot.com
https://big-bh.blogspot.com/2023/06/blog-post.html
저탄고지: 당뇨병 환자에게 죽음을 부르는 식습관
당뇨병 부작용 당뇨병과 저탄고지 저탄고지를 하지 말아야 하는 이유 당뇨병에 최악인 저탄고지 당뇨병 저탄고지 당뇨병 콜레스테롤 저탄고지 콜레스테롤 저탄고지 부작용
big-bh.blogspot.com
https://big-bh.blogspot.com/2023/05/blog-post_30.html
저탄고지와 부작용
저탄고지 부작용 저탄고지가 위험한 이유 저탄고지와 케톤산증 당뇨병과 저탄고지
big-bh.blogspot.com
https://big-bh.blogspot.com/2023/05/blog-post_15.html
저탄고지 의사를 신뢰하지 않는 이유
저탄고지 의사를 신뢰하지 않는 이유 저탄고지 의사 거짓말 저탄고지 의사 유튜브
big-bh.blogspot.com
'NO! 저탄고지' 카테고리의 다른 글
| 저탄고지를 맹신하는 사람들 (0) | 2023.07.02 |
|---|---|
| 저탄고지 의사의 위험한 음모론 (0) | 2023.06.28 |
| 저탄고지 의사를 신뢰하지 않는 이유 #2 (0) | 2023.06.05 |
| 탄수화물 섭취와 사망률: 사망률을 높이는 저탄고지 (0) | 2023.05.19 |
| 식습관이 건강에 미치는 영향: 사망률을 높이는 저탄고지 (0) | 2023.05.17 |